Group Members:
汪子杨(ZiYang Wang), 杨鸿畅(HongChang Yang)
王源浩(YuanHao Wang), 阙佳(Jia Que)
using AstroImageJ
master bias, master darks, master flats
reduced:
(the $g\text{-}r$ in H-R diagram requests the star in $g$ and $r$ filter is the same)
(the $g\text{-}r$ in H-R diagram requests the star in $g$ and $r$ filter is the same)
(to contain the gaints in H-R diagram)
(the $g\text{-}r$ in H-R diagram requests the star in $g$ and $r$ filter is the same)
(to contain the gaints in H-R diagram)
(to contain the main sequence stars in H-R diagram)
$$ m_{\text{inst}}=-2.5\log_{10}\left(\frac{F}{t_{\text{exp}}}\right) $$
$$ \sigma_{m_{\text{inst}}}=\sqrt{\left(\frac{-2.5}{\ln 10}\right)^2\left(\frac{\sigma_{F}}{F}\right)^2} $$
the flux of target $F$
the exposure time $t_{\text{exp}}$
the error of flux $\sigma_{F}$
$$ m_{\text{inst}}=-2.5\log_{10}\left(\frac{F}{t_{\text{exp}}}\right) $$
$$ \sigma_{m_{\text{inst}}}=\sqrt{\left(\frac{-2.5}{\ln 10}\right)^2\left(\frac{\sigma_{F}}{F}\right)^2} $$
the python code to achieve:

$$ m_{\text{app}catalog}=m_{\text{inst}}+m_{\text{zp}} $$
download the apparent magnitudes from Pan-STARRS Catalog
crossmatch $m_{\text{app}catalog}$ and $m_{\text{inst}}$ to get the $m_{\text{zp}}$
$$ m_{\text{app}my}=m_{\text{inst}}+m_{\text{zp}} $$
1.compare the coordinate (RA, Dec) of star to match the coordinate in catalog table PS-7_26_2025.csv

get the match apparent magnitudes in 3 filters.
2.crossmatch $m_{\text{app}catalog}$ and $m_{\text{inst}}$ to get the $m_{\text{zp}}$

(the blue line above is the difference between two, the x-axis represents the index)
3.convert $m_{\text{inst}}$ to $m_{\text{app}my}$

$$ M=m-5\log_{10}(d)+5 $$ $$ \sigma_{M}=\sqrt{\sigma_m^2+(\frac{5}{\ln 10})^2(\frac{\sigma_d}{d})^2} $$
the distance of target $d$
the apparent magnitude of target $m$
the error of apparent/instrumental magnitude $\sigma_{m}$
the error of distance $\sigma_{d}$
1.get distance from gaia catalog

1.get distance from gaia catalog
change parallax(mas) $ ϖ $ to distance(pc) $d$
$$ d = \frac{1000}{ϖ} $$
$$ \sigma_d = \sqrt{(\frac{-1000}{ϖ^2})^2\sigma_{ϖ}^2} $$
2.convert $m_{\text{app}my}$ to $m_{\text{abs}}$
$$ M=m-5\log_{10}(d)+5 $$ $$ \sigma_{M}=\sqrt{\sigma_m^2+(\frac{5}{\ln 10})^2(\frac{\sigma_d}{d})^2} $$

we have:
absolute magnitudes in $g,i,r$ filters
color index:
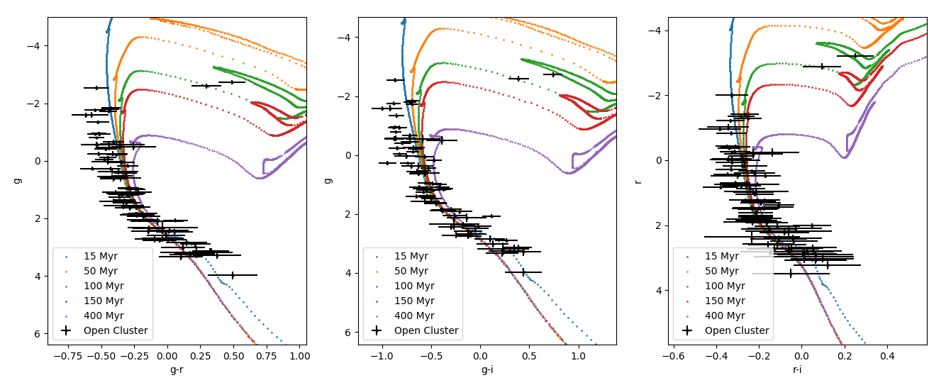
plot $g$ vs $g\text{-}r$, $g$ vs $g\text{-}i$ and $r$ vs $r\text{-}i$

parameters to consider:
distance/parallax
proper motion
parameters to consider:
(stars gather as a group)
parameters to consider:
(stars gather as a group)
(group move together)
1.get the proper motion from gaia catalog

2.consider distance, proper motion, proper motion in RA, proper motion in Dec at the same time

3.compare with the raw H-R diagram

3.compare with the raw H-R diagram

1.compare the coordinate of star to the coordinates in catalog file Extinction_values_NGC7086.csv

get the match value of $E(B\text{-}V)$ and its error.
2.calculate the interstellar extinction and reduce it

3.compare with the H-R diagram before considering interstellar extinction

3.compare with the H-R diagram before considering interstellar extinction
