An astrophysical disk can be modeled as a fluid with negligible mass compared to the central object (e.g. a star) and with negligible pressure. We can suppose an axial symmetry such that .
The Lagrangian in cylindrical coordiantes is
Then we obtain the Lagrange's equation:
The second line implies that the specific angular momentum is conserved. We can then define an effective potential and so:
We can apply a small perturbation to the circular orbit:
So,
And thus:
We then note
In a circular orbit , , finally yields:
mean-motion resonance (MMR):
A mean-motion resonance occurs when multiple bodies have orbital periods or mean motions (orbital frequencies) that are simple integer ratios of each other.
the Eular equation in radial direction of cylindrical coordinates for stable axial symmetry dics ( ):
define the two-dimensional enthalpy
where is the surface mass density.
so we have
the linear perturbation equations (5,6,7,8)
where and is the Dirac delta function.
derivation
in brief,
Eq.
derivation
(5,6)
the linear perturbation method
(7)
the definition of enthalpy
(8)
the Poisson's equation of gravitational potential
denoting the unpertubated gravitational potential , surface density , the Euler equation and continuity equation reads,
then we introduce the external perturbation potential and surface density perturbation which generate additional potential , hence we obtain the pertubation equations (5,6) by substituing ,, to ,,
from the paper, we know the sound speed satisfies (Eq.1 & 2)
with the definition of enthalpy
as we mention at 1., the additional potential is arised by the surface density pertubation , so
this is the Poisson's equation of the gravitational potential.
the response of the disk to is completely described by equation (7,8,13)
where the subscripts on and have been dropped.
where
derivation
in brief, substitute the component form of equation (5) and equation (7) into the continuity equation (6).
the component form of momentum equation (5):
write each perturbation variable in the form , and denote
above all, in radial component and azimuthal component , we have
the solution of systems of linear equations are easy to obtain by Linear Algebra
where
substituting above into the continuity equation (6) I won't try to calculate it again, you can try that as you wish. (╥﹏╥)
resonance
there are singularities in the coefficients of equation (13):
: Lindblad resonance,
: corotaion resonance,
the general solution of the perturbation equations away from the resonances:
contain a homogeneous free-wave solutions and inhomogeneous non-wave solutions.
the inhomogeneous non-wave solution ( )
the homogeneous free-wave solution ( )
here equation (17) is the WKB solution of Poisson's equation (8)
the total angular momentum flux:
derivation
spiral density waves transport angular momentum by gravitational torques and by advective transport.
the angular momentum flux across a cylinder of radius due to gravitational torques is
where . Note that the sign of is opposite to that of . Thus, angular momentum is removed from the disk at an inner Lindblad resonance and added to it at an outer Lindblad resonance.
The result in GT80 of corotation and Lindblad resonances was derived for a perturber orbiting outside a disk or within a gap, now consider an object embedded in a continuous disk without a gap.
This section reviews the established theory for calculating torque ( ) on a perturber from disk resonances and its effect on eccentricity .
Lindblad Resonances (Eq.4, 8): They always excite eccentricity. Both inner and outer Lindblad resonances contribute to this excitation.
Corotation Resonances (Eq.9, 12): For a perturber in a gap or outside a disk, they leading to net damping. However, for an object embedded in a smooth, continuous disk, the interior and exterior corotation torques largely cancel each other out. Their net contribution to eccentricity change becomes very small and of second order, depending on the second derivative of the vortensity (Eq. 18).
Implications: Consider the role of co-orbital resonance (resonances at the same orbital distance as the perturber), which were previously sidestepped.
This is the paper's central section, where Ward develops a model to handle the mathematically tricky co-orbital resonances.
The Problem: Standard potential expansions diverge at (the planet's orbit). Ward addresses this by vertically averaging the gravitational potential over the disk's scale height (), which removes the singularity and acknowledges the 3D nature of the disk.
Key Findings:
Distant Lindblad Resonances: ( )
Distant Corotation Resonances: ( )
Co-orbital Lindblad Resonances: These are a new class of resonances that occur for material sharing the planet's orbit. Their forcing function is derived (Eq. 52):
and the resulting torque is calculated (Eq. 60).
Effect: Crucially, all co-orbital Lindblad resonances damp eccentricity (). This is the opposite of distant Lindblad resonances.
Formula (Eq. 65)
Co-orbital Corotation Resonances: These are also present and are strong (zeroth order in ). However, because their pattern speed equals the planet's mean motion (), the term in the fundamental eccentricity equation (Eq. 1) is zero. This severely reduces their ability to change eccentricity (Eq. 69). Their effect is much weaker () than that of co-orbital Lindblad torques ().
Questions about distant & co-orbital
I:
I'm still confused that the Eq(43)(44) obtained from the vertically average the disturbing function Eq.(21), and the Eq(27)(28) also come from Eq.(21), but why the Eq.(43)(44) represent the co-orbital material while the Eq(27)(28) represent the perturber(planet)?
Deepseek:
In Ward's paper, both Equation (27)/(28) and Equation (43)/(44) are derived from the vertically averaged disturbing function (Eq. (21)), but they represent different aspects of the disk-planet interaction due to distinct evaluation points and mathematical treatments. Here's a detailed explanation of the difference:
1. Equation (27) and (28): Representing the Perturber's Potential at Distant Resonances
Origin: These equations are derived from Eq. (21) by evaluating the vertically averaged potential at specific resonance locations away from the planet's orbit. For Lindblad resonances (Eq. (27)), the evaluation uses , which corresponds to the approximate location of Lindblad resonances in a Keplerian disk (where ). Similarly, for corotation resonances (Eq. (28)), is used.
Physical Meaning: Eqs. (27) and (28) quantify the strength of the planet's gravitational potential as experienced by disk material at these distant resonances. They are used to calculate the torque exerted by the planet on the disk (or vice versa) at these locations. Specifically:
Eq. (27) gives the forcing function for Lindblad resonances, which is used in the torque formula (Eq. (4)).
Eq. (28) gives the potential amplitude for corotation resonances, used in the torque formula (Eq. (9)).
Key Point: These equations focus on resonances that are not co-orbital; they are interior or exterior to the planet's orbit. Thus, they represent the planet's influence on distant disk material.
2. Equation (43) and (44): Representing the Potential for Co-orbital Material
Origin: These equations are also derived from Eq. (21), but through a different process:
Expansion around : The vertically averaged potential is expanded in a Taylor series around the co-orbital point (see Eq. (38)), which includes terms like , , and the sign function .
Fourier Decomposition in Time: Due to the planet's eccentric motion, the potential varies periodically with the true anomaly . This expansion is Fourier decomposed to isolate components with pattern speeds that resonate with co-orbital material (e.g., for corotation and for Lindblad resonances). This decomposition results in the coefficients (given in Appendix A).
Physical Meaning: Eqs. (43) and (44) represent the amplitudes of the gravitational potential components that drive resonances in the co-orbital region. Specifically:
Eq. (43) gives for the co-orbital corotation resonance (pattern speed ).
Eq. (44) gives for the co-orbital Lindblad resonances (pattern speeds ).
Key Point: These potentials are not directly from the planet; instead, they arise from the disk's response to the planet's gravity. However, in this context, they are derived from the planet's potential but are used to describe how the co-orbital material is forced. The process captures the time-dependent effects due to eccentricity, which are crucial for co-orbital dynamics.
Why the Difference?
Evaluation Point: Eqs. (27)/(28) are evaluated at resonance locations away from , while Eqs. (43)/(44) are derived from an expansion at .
Mathematical Treatment: Eqs. (27)/(28) use a fixed value based on resonance conditions, whereas Eqs. (43)/(44) involve a Fourier series in time to account for the planet's orbital motion, which is essential for co-orbital material that experiences periodic forcing.
Physical Context: The co-orbital region involves material that shares the planet's orbit, so the potential must be handled with care to avoid singularities and include horseshoe dynamics. The Fourier decomposition achieves this by identifying the relevant components for resonance.
In summary, while both sets of equations originate from the same disturbing function (Eq. (21)), Eqs. (27)/(28) represent the planet's potential at distant resonances, and Eqs. (43)/(44) represent the potential components that drive resonances in the co-orbital region, derived through a specialized expansion and decomposition. This distinction is crucial for understanding how co-orbital torques differ from distant torques in eccentricity evolution.
the formula of :
Conclusion of Section III: For an embedded perturber, the primary source of eccentricity damping comes from co-orbital Lindblad resonances, not from the distant corotation resonances emphasized in previous work.
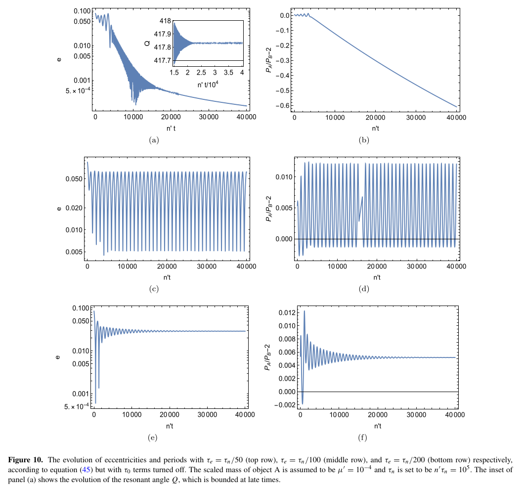
the theory part of yang-li-2024mean-motion resonances with interfering density waves
main content:
an object 'A' moving on a fixed outer circular orbit and an object 'B' moving along an inner eccentric orbit, the system is assumed to be locked in a resonance such that
summary
the main analyze (in interfering density waves):
the normal torque due to gravitational torque and advective transport (migration torque)
the inner and outer Lindblad resonance
the corotation resonance
2 Interfering density waves and their backreaction
the Fourier series of the individual gravitational field for object A or B ( )
where the pattern frequency of the component is
the location of the inner and outer Lindblad resonances and corotation resonance is
the location of the inner Lindblad resonance of object A should be close to the radius of object B.
derivation
the object A and B are in mean-motion resonance, the orbital velocities satisfy,
the location of the inner Lindblad resonance of object A (for Keplerian disc, )
the total angular flux contains the cross-term is (the migration torque)
derivation
begin from the gravitational potential perturbation from object A and B
the total potential perturbation
the cross-term represents interference
where is the phase shift due to wave propagation between resonances.
substituting into equation (8), which is equation (30) in GT79
so the cross-term in the total angular momentum flux is